每一位腦癱兒童的笑容,都是父母心中最珍貴的希望。然而,對于很多家庭來說,看著孩子因大腦受損而動作僵硬、言語受限、生活依賴性強,卻無能為力,這種無奈與焦慮幾乎每天都在重復。
近年來,一種被名為“干細胞療法”的新技術,讓這個希望有了新的可能。通過提取孩子自身或健康來源的干細胞,科學家們能夠將這些“天然修復工人”送入大腦受損區域,幫助重建神經網絡,改善運動和認知能力。這不僅讓孩子的生活質量得到提升,也為長期困擾家庭的康復難題帶來了曙光。
本文將從科學機制、臨床療效、安全性及未來展望等方面,探討干細胞療法在腦癱兒童中的應用價值。

干細胞療法治療腦癱兒童有用嗎?99例臨床數據顯示運動功能提升超兩倍
一、腦癱現狀:孩子康復的困境
腦癱(Cerebral Palsy,CP)是兒童時期最常見的神經系統疾病之一,其根源在于大腦在發育早期遭受損傷。這種損傷會導致一系列功能障礙,包括運動協調困難、姿勢控制異常、語言發育遲緩以及認知能力受限等。
面對腦癱這一復雜疾病,傳統康復治療手段如物理治療、作業治療和語言訓練一直是主要的干預方式。這些方法通過反復訓練和刺激,幫助孩子建立代償機制,在一定程度上改善運動功能和生活自理能力。
然而,這些傳統療法面臨著一個根本性的局限:它們無法修復已經受損的腦神經組織,也無法逆轉大腦的結構性損傷。許多家長在漫長的康復過程中常常感到力不從心,既心疼孩子承受的辛苦,又為進步緩慢而感到焦慮。
二、干細胞療法治療腦癱兒童的3大核心原理
正是在這樣的困境中,干細胞治療的出現為腦癱兒童帶來了全新的希望。干細胞是一類具有自我更新能力和多向分化潛能的特殊細胞,它們就像身體自帶的”修復工具箱”,能夠通過多種機制幫助修復受損的腦組織。
核心作用機制主要體現在三個層面:
- 神經修復與再生:干細胞可定向分化為功能性神經元,替代受損細胞,重建神經網絡。例如,神經干細胞移植后可促進少突膠質細胞再生,修復髓鞘結構,改善神經信號傳導。
- 免疫調節與抗炎:干細胞通過抑制促炎因子(如TNF-α、IL-1β)并分泌抗炎因子(如IL-10、TGF-β),減輕腦部慢性炎癥,為神經修復創造有利環境。
- 微環境優化:干細胞分泌的BDNF、VEGF等因子可促進血管新生,改善缺血腦區的供血,同時激活內源性修復機制,增強神經可塑性。
特別值得關注的是,干細胞治療對兒童患者具有獨特優勢。?兒童大腦仍處于發育階段,神經可塑性遠勝于成年人,這種生理特點與干細胞的修復作用形成了理想的協同效應。當充滿活力的干細胞遇到仍在發育中的兒童大腦,受損神經組織的修復潛力被最大化激活,為功能性改善創造了更多可能。
三、臨床療效:數據見證兒童患者的改善潛力
案例1:神經干細胞移植治療45例重度腦癱兒童
2012年1月1日,中國北京海軍總醫院兒科在行業期刊《細胞移植》上發表了一篇名為《神經干細胞移植對重癥腦癱兒童的影響》的臨床研究成果。[1]
該研究對45名重度腦癱患兒實施了神經干細胞移植手術。術后通過專業量表評估發現,患兒的運動、認知等功能均出現不同程度改善:

具體臨床成果如下:
部分患兒術后3天即可出現改善:睡眠明顯變好、情緒更穩定、異常姿勢減輕。
術后1個月內出現明顯進步:頭部控制增強、肢體運動更協調、肌張力下降;認知能力提升,語言理解和交流能力改善。
運動發育速度顯著提升:
- GMFM評分從術前每月0.31分提升到術后每月5.35分,增長超過17倍
- PDMS-FM評分也持續提升,表明運動與精細動作恢復更快。
長期隨訪結果積極:盡管改善速度在后期趨于平穩,但隨訪1年后,治療組在粗大運動、精細運動和認知能力方面均明顯優于對照組,且 未見嚴重并發癥或延遲風險。






綜上所述,細胞移植后第一個月內運動發育明顯加快,但改善速度逐漸減慢至術前水平。但1年后,治療組各功能領域(粗大運動、精細運動和認知)的發育水平均明顯高于對照組。該療法未觀察到任何延遲并發癥。這些結果表明,神經干細胞移植是治療重度腦癱兒童的安全有效的治療方法。
案例2:間充質干細胞治療54例腦癱兒童
2018年4月11日,西安神經生物研究所牽頭在行業期刊《細胞移植》上發表了一篇名為《針對腦癱兒童進行人臍帶血間充質干細胞輸注的隨機、安慰劑對照試驗》的臨床研究成果。[2]
該研究共納入54名腦癱兒童,旨在評估干細胞聯合基礎康復治療的安全性及有效性。結果顯示,整個研究期間所有患兒均未出現嚴重不良事件,治療安全性良好。

在療效方面,結果表明:干細胞治療組在術后3個月開始出現改善趨勢,6–12個月效果明顯增強,24個月效果最為顯著,在所有時間點改善幅度均顯著優于對照組。
具體改善如下:
1.運動功能顯著改善:干細胞治療組顯著提升了 GMFM-88 總分,包括頭部控制、獨立坐立、平衡與下肢力量等,說明干細胞能夠助力改善神經-肌肉協調和粗大運動功能,比單純康復訓練恢復更快、效果更持久。明顯優于對照組。
2.綜合功能全面提升:CFA評分顯示干細胞治療不僅促進運動改善,還提升認知、交流、語言表達和生活自理能力。治療組在 6、12、24 個月均達到“有效”,而對照組直到24個月才達到最低改善標準,差距明顯。
3.腦電活動趨于正常:部分治療前腦電異常的患兒在干細胞輸注后出現慢波活動減少并向正常靠近,提示干細胞可能促進神經網絡功能重建,即使 MRI 結構變化暫不明顯,功能恢復依然持續。
研究表明,人臍帶血間充質干細胞聯合康復治療,能夠安全、有效地促進腦癱兒童的粗大運動與綜合功能恢復,為該類患者的治療提供了新的循證支持。
四、治療時機:抓住黃金干預期
確定療效后,一個重要問題隨之浮現:什么時機介入治療效果最佳?
2025年4月11日,澳大利亞腦癱聯盟研究所在國際期刊《PEDIATRICS》上發表了一篇關于《腦癱兒童臍帶血細胞治療:個體參與者數據薈萃分析》的研究成果,對此給出了科學答案。[3]
這項大規模研究整合了11項研究的498份腦癱兒童數據,通過對170名接受臍血細胞治療的患兒與171名對照受試者的比較分析,得出了明確結論:治療效果與劑量、年齡密切相關——劑量越高、年齡越小,改善越顯著。

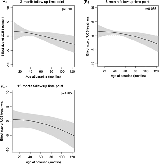
1.總體療效:UCB治療在6個月和12個月隨訪中顯著改善運動功能,但1個月和3個月無明顯效果。敏感性分析(排除偏倚研究)顯示結果穩定,異質性僅在短期隨訪中顯著。(圖7)

2.劑量越高效果越顯著:3個月和12個月時,總核細胞(TNC)計數≥50×10?/kg的治療組效果更佳。低劑量(<50×10?/kg)效果接近不明顯,提示需明確最低有效劑量。(圖8)

3.CP嚴重程度差異:輕度患者(GMFCS I-III)在3、6、12個月均獲益更明顯,調整基線年齡后差異仍顯著。重度患者(GMFCS IV-V)對任何劑量均無顯著反應,提示治療需分層管理。(圖9)

4.年齡越小療效越強:6個月和12個月隨訪中,年輕患者對UCB更敏感。

5.安全性:UCB治療安全,僅1例嚴重不良事件(冷凍保護劑反應),其他不良事件(如過敏反應)輕微且非UCB直接相關。
這些發現為我們提供了清晰的臨床指引:干細胞治療對腦癱具有顯著的長期療效且安全性良好,但需要根據嚴重程度、年齡和劑量制定個體化治療方案,特別是對輕度、低齡患兒效果最為理想。
五、干細胞治療腦癱兒童的關鍵注意事項
在考慮干細胞治療時,家長需要了解以下幾個重要方面:
理性看待療效:干細胞治療不是”萬能神藥”,其效果存在個體差異。通常需要多次治療,且必須與康復訓練相結合。治療的主要目標是改善功能、提高生活質量,而非完全治愈。
嚴格選擇機構:務必選擇具備合法資質、有臨床研究備案的正規干細胞醫療機構。警惕那些承諾”包治”、”特效”的商業宣傳,要核實機構的執業許可和醫生資質。
了解治療過程:治療前需要進行全面評估,包括影像學檢查、運動功能評定等。治療過程通常包括細胞采集、實驗室擴增、細胞回輸等步驟,可能需要住院觀察。
關注長期管理:治療后需要定期復查和隨訪,堅持康復訓練,密切觀察孩子的反應和變化。建立完整的健康檔案,記錄治療前后的功能改善情況。
經濟成本考量:目前干細胞治療費用較高,且大多數地區尚未納入醫保。家長需要提前了解相關費用,做好經濟規劃。
六、未來展望:精準醫療引領新方向
隨著再生醫學的快速發展,干細胞治療腦癱的前景令人期待:
技術持續優化:基因工程技術可增強干細胞的定向分化能力和靶向性;3D生物打印技術有望實現神經組織的精準移植;新型載體制劑可提高干細胞在病灶部位的存活率。
個體化治療方案:未來將通過基因測序、生物標志物檢測等技術,為每個孩子量身定制治療方案,實現真正的精準醫療。
聯合治療模式:干細胞與康復訓練、神經調控技術、藥物治療的有機結合,將形成多維度、全方位的治療新策略。
臨床應用拓展:隨著技術成熟和治療方案標準化,干細胞治療有望逐步應用于更多神經系統疾病,如自閉癥、智力發育障礙等。
政策支持加強:各國政府正在加快細胞治療產品的審評審批,完善行業標準和質量控制體系,為合法合規的臨床應用提供制度保障。
結語
對于正在經歷康復磨礪的腦癱兒童和他們的家人來說,干細胞治療如同一縷曙光,照亮了前行的道路。它讓我們看到了從”改善癥狀”到”修復損傷”的可能性,讓”重建神經功能”不再只是夢想。
雖然前路依然漫長,還需要更多的基礎研究和臨床試驗來優化治療方案,但現有的成果已經給了我們充分的理由保持期待。我們相信,隨著科學的進步,干細胞治療將不斷完善,為更多腦癱兒童帶來實質性的改善,讓每個孩子都能在愛與希望的陪伴下,走向更好的未來。
參考資料:
[1]Luan Z, Liu W, Qu S, et al. Effects of Neural Progenitor Cell Transplantation in Children with Severe Cerebral Palsy. Cell Transplantation. 2012;21(1_suppl):91-98. doi:10.3727/096368912X633806
[2]Huang L, Zhang C, Gu J, et al. A Randomized, Placebo-Controlled Trial of Human Umbilical Cord Blood Mesenchymal Stem Cell Infusion for Children With Cerebral Palsy. Cell Transplantation. 2018;27(2):325-334. doi:10.1177/0963689717729379
[3]https://publications.aap.org/pediatrics/article/155/5/e2024068999/201565/Cord-Blood-Treatment-for-Children-With-Cerebral?autologincheck=redirected
免責說明:本文僅用于傳播科普知識,分享行業觀點,不構成任何臨床診斷建議!杭吉干細胞所發布的信息不能替代醫生或藥劑師的專業建議。如有版權等疑問,請隨時聯系我。
掃碼添加官方微信