根據之前的體內研究和人體試驗,鞘內細胞輸送是一種安全且相關的治療手段,可改善神經系統疾病患者的生活質量。
2024年5月20日國際醫學期刊雜志《Stem Cell Research& Therapy》發表了一篇“通過鞘內注射進行間充質干細胞治療神經系統疾病的安全性:隨機對照試驗的系統評價和薈萃分析”的文獻綜述。
鞘內注射干細胞治療神經系統疾病的安全性如何?分析多項臨床結果得知

該綜述旨在描述鞘內輸送間充質干細胞 (MSC) 的安全性。綜述表明鞘內注射MSCs與肌肉骨骼和結締組織疾病相關的不良事件略有增加有關,盡管沒有嚴重的不良事件。我們得出結論,鞘內注射間充質干細胞對神經系統疾病患者是安全的。
什么是神經系統疾病
神經系統疾病是影響中樞和周圍神經系統的多種疾病,會導致認知和感覺運動功能下降,是全球顯著的疾病負擔,導致生活質量下降。神經系統疾病導致的死亡人數為900萬,占全球死亡人數的16.5%,是僅次于心血管疾病的第二大死亡因素 。大多數神經系統疾病的特點是廣泛的神經元死亡和大腦再生潛力微弱。此外,與其他疾病相比,可用的治療選擇受到限制。
間充質干細胞的特性與移植途徑
根據目前研究表明,間充質干細胞具有獨特的特性,例如自我更新能力和分化成各種細胞的能力。先前的臨床試驗已經評估了它們作為神經系統疾病治療方法的安全性和有效性,包括阿爾茨海默病、癡呆、帕金森病、脊髓損傷、脊髓性肌萎縮和多發性硬化癥。MSCs表現出對損傷部位的趨向性,并分泌多種生長和神經營養因子,引發免疫調節和神經保護作用,促進神經元存活和再生。因此,MSC療法可被視為改善神經功能障礙的重要方法。
MSC療法可通過各種途徑到達蛛網膜下腔,包括動脈內、靜脈內、病變內和鞘內。據觀察,動脈內或靜脈內途徑向病變區域輸送細胞的效果不佳,因為細胞可能無法穿過血腦屏障 (BBB) 或可能滯留在其他器官中。盡管MSC具有很高的穿過BBB的潛力,但將其輸送到鞘內可產生最顯著的治療效果,從而提高受損中樞神經系統區域附近的細胞生物利用度。此外,鞘內細胞治療后似乎沒有出現重大嚴重不良事件 (SAE),這表明許多細胞可以無風險地注入 。

此外,對照臨床試驗表明,鞘內注射MSCs組和假手術/安慰劑對照組的SAE發生率相當。盡管如此,在間充質干細胞治療神經系統疾病中,靜脈途徑仍然是最常用的,其次是鞘內注射。這種偏好可能歸因于與腰椎穿刺和MSCs注射相關的潛在風險引起的倫理考慮。
在本系統綜述和薈萃分析中,我們的主要目標是根據符合納入標準的RCT證據,評估鞘內注射MSCs對成年神經系統疾病患者的安全性。
方法
我們搜索了以下電子數據庫:Ovid MEDLINE、Embase、Scopus、Cochrane Library、KCI-Korean Journal Database 和Web of Science Databases,從數據庫建立到2023年4月13日,對數據庫進行了搜索。納入了比較成人群體中MSCs鞘內注射與對照組的隨機對照試驗 (RCT)。
匯總不良事件 (AE) 并使用DerSimonian-Laird隨機效應模型進行薈萃分析,對零計數細胞的研究添加校正因子0.5。使用風險比 (RR) 和95%置信區間 (95%CI) 描述匯總的AE。然后,對研究級匯總數據進行隨機效應元回歸模型,以探索AE的發生與被認為會修改總體效應估計的協變量之間的關系。
結果
研究選擇:共從文獻檢索中提取了581篇文章。在使用自動化工具刪除重復研究后,對303篇文章進行了標題和摘要篩選。在這些文章中,選擇了13篇進行全文審查。最后,九項RCT被納入研究質量評估和數據分析。文獻檢索和研究納入過程如圖1所示。

研究特征:共納入9項RCT(n=540例患者),樣本量從10至189例患者不等;隨訪期從1天至14個月不等,發表日期從2013年到2021年。納入的RCT在六個不同的國家進行:白俄羅斯(2項RCT)、美國(2項RCT)、西班牙(1項RCT)、中國(2項RCT)、以色列(1項RCT)和韓國(1項RCT)。七項研究招募了來自單中心的患者,兩項研究為多中心研究。
表1列出了納入的9項RCT的研究特征和參與者的詳細信息,例如年齡、性別、干預組和對照組、地點、隨訪、臨床狀況和劑量。在納入的研究中,三項 (33.33%) RCT使用骨髓間充質干細胞 (BM-MSC) ,兩項 (22.22%) 使用臍帶間充質干細胞UC-MSC,四項 (44.44%) 使用誘導分泌高水平神經營養因子的骨髓間充質干細胞 (BMMSCs-NTF)。

| Fedor Hlebokazov 等人,2021 年 | 白俄羅斯 | 患有 DRE 的患者(n =67) | 單中心 | 12 | AED輔以單次靜脈注射自體 BM-MSC,隨后單次靜脈注射BMMSC-NTF 細胞 | 傳統 AED | 33·5±10·34 | 33·4±10·7 | 20/14 | 18/15 | ITT | 單次靜脈注射自體BM-MSC(1.0 – 1.5×106細胞/千克),隨后一周內單次靜脈注射 BMMSC-NTF(0.1×106細胞/千克) |
| Cudkowicz 優異 E.,2022 年 | 美國 | ALS患者(n=189) | 多中心 | 3 | BMMSC-NTF(NurOwn?,由波士頓丹娜法伯癌癥研究所生產) | 安慰劑 | 48·1±9·71 | 49·1±8·38 | 27/68 | 35/59 | ITT | 125×106NurOwn? (BMMSC-NTF 細胞) |
| 阿爾布·塞爾吉烏,2021 年 | 西班牙 | 因創傷原因導致完全性脊髓損傷的患者 (n=10) | 單中心 | 12 | 先輸注UC-MSC,然后輸注安慰劑 | 先注射安慰劑,然后輸注 UC-MSCs | 31±6·04 | 34·4±10·36 | 2/3 | 1/4 | ITT | 10×106個臍帶間充質干細胞 |
| 宋華.,2020 | 中國 | 急性脊髓損傷患者(n = 36) | 單中心 | 12 | 對照組治療+蛛網膜下腔自體BM-MSCs注射 | 減壓+內固定+常規藥物治療 | 41·2±2·3 | 41·7±2·1 | 6/12 | 8/10 | ITT | 自體10×106BM-MSC |
| Petrou Panayiota.,2020 年 | 以色列 | 患有活動性或惡化性 MS 的患者 (n = 64) | 單中心 | 14 | 自體BM-MSC 和靜脈注射生理鹽水 | 假治療(生理鹽水) | 第1組:49.05±7.2。第2組:47.42±10.4 | 第3組:45.89 ± 10.9 | 第 1 組:6/10。第 2 組:10/6 | 第 3 組:4/12 | ITT | 自體1×106BM-MSC/kg |
| Berry James D.,2019年 | 美國 | ALS患者(n=48) | 多中心 | 6 | 自體骨髓間充質干細胞 | 安慰劑 | 50·3±11·90 | 53·5±9·11 | 11/25 | 2/10 | ITT | 自體125×106BMMSC-NTF細胞和在24個不同部位進行24次肌肉注射48×106BMMSC-NTF |
| 噢,基旭,2018 | 大韓民國 | 無家族病史的ALS 患者 (n=64) | 單中心 | 6 | 自體BM-MSCs 每隔26天應用一次+利魯唑 | 利魯唑治療(100 毫克/天) | 53·7±7·7 | 52·5 ± 9·4 | 14/18 | 16/11 | ITT | 使用IT自體BM-MSC進行兩次重復治療(1×106BM-MSC/kg,間隔26 天) |
| 費多爾·赫列博卡佐夫,2017 | 白俄羅斯 | 患有DRE 的患者(n=22) | 單中心 | 12 | AED輔以單次靜脈注射自體 BM-MSC,隨后5-7天單次靜脈注射 BMMSC-NTF | 標準抗癲癇藥物治療 | 31.5(20–44)中值(范圍) | 32.5(18–56)中位數(范圍) | 4/6 | 5/7 | ITT | 自體1×106BM-MSC/kg,隨后5-7 天單次IT注射 BMMSC-NTF 0.1×106MSC-NTF/kg |
| 王森,2013 | 中國 | 患有TBI后遺癥的患者(n=40) | 單中心 | 6 | UC-MSCs組 | 控制組 | 27·50±9·43 | 28·64±10·13 | 3/17 | 5/15 | ITT | 10×106個臍帶間充質干細胞 |
關于劑量,2項(22.22%)RCT施用的細胞劑量≤106,7項(77.78%)施用的細胞劑量在107至108個之間。7項(77.78%)RCT使用自體MSC, 2項(22.22%)使用不匹配的同種異體MSC。6項(66.67%)RCT使用新鮮細胞,3項(33.33%)在給藥前使用了冷凍保存的MSCs。納入的RCT均未使用異種產品,九項(100%)RCT在無異種培養基中培養MSCs。在干預組的283名患者中,103名接受了單劑量治療,180名接受了多劑量治療。
所有納入的RCT均使用鞘內 (IT) 注射作為治療給藥途徑。最常見的標準治療是抗癲癇藥物 (AED),例如利魯唑。一些重要的MSCs特性,例如來源(自體或不匹配的同種異體)、MSC制備(新鮮或冷凍保存)、無異種培養基、給藥頻率(單劑量或多劑量)和劑量,與每一項納入的研究相關。
不良事件 (AE) 和嚴重不良事件 (SAE)
對本研究納入的所有RCT的總體AE進行的薈萃分析顯示,MSC組的AE發生率與對照組相比并無顯著升高(圖2)。

我們通過比較MSC組和對照組之間的總體AE發生率來評估異質性(圖3);L’ Abbé圖中的每個圓圈代表一個RCT,圓圈越大代表AE較多的RCT ;虛線對角線表示RCT中兩組的總體AE發生率相等。

MSCs組 (0.23–57.27%) 和對照組 (0–85.19%) 的總體AE發生率存在顯著差異。Cudkowicz等人在RCT中報告了MSCs組總體AE發生率最高 (57.27%)。另一方面,Hlebokazov等人在試驗中觀察到了MSCs組總體AE發生率最低 (0.231%)。
四項RCT報告了SAE;
- Cudkowicz等人報告了與疾病進展和與研究干預無關的其他原因相關的死亡;
- Petrou等人將SAE判定為MS復發和上呼吸道感染;
- Berry等人報告說所有SAE都與ALS疾病進展有關;
- Oh KW等人認為死亡是由于與疾病進展相關的呼吸衰竭和心臟驟停造成的。
匯總效應估計的薈萃分析顯示,與對照組相比,MSCs組的SAE發生率無顯著差異(圖4)。

表2全面總結了安全性結果和安全性報告結果的質量。
| 安全結果 | RCT 數量* | 結果(RR;95% CI) | 異質性 I 2 |
|---|---|---|---|
| 一般性疾病和給藥部位情況 | 4/9 | 2.07(0.76-64.94) | 0.00% |
| 肌肉骨骼和結締組織疾病 | 6/9 | 1.61(1.19-2.19) | 0.00% |
| 神經系統疾病 | 9/9 | 1.16 (0.87-1.54) | 0.00% |
| 感染和侵染 | 3/9 | 1.40(0.46-4.25) | 0.00% |
| 呼吸、胸腔和縱隔疾病 | 2/9 | 1.19(0.16-9.08) | 20.14% |
| 皮膚和皮下組織疾病 | 1/9 | 不適用 | 不適用 |
| 胃腸道疾病 | 4/9 | 1.07(0.63-1.83) | 0.00% |
| 損傷、中毒和手術并發癥 | 3/9 | 1.07(0.85-1.34) | 0.00% |
| 心臟疾病 | 1/9 | 不適用 | 不適用 |
| 血管疾病 | 1/9 | 不適用 | 不適用 |
| 代謝和營養障礙 | 1/9 | 不適用 | 不適用 |
| 總計SAE | 4/9 | 1.24(0.70-2.20) | 11.78% |
| 不良事件總計 | 9/9 | 1.31(0.97-1.77) | 34.92% |
| 安全報告質量 | RCT 數量* | 發現 (%) | 不適用 |
| 監測不良事件的先驗計劃 | 9/9 | 100% | 不適用 |
*報告了不良事件的試驗RCT隨機對照試驗,AE不良事件,SAE嚴重不良事件,NA不適用
系統器官類別 (SOC) 相關不良事件
與一般疾病和給藥部位情況相關的不良事件
對報告了發燒(注射MSCs后24小時內)和疼痛(注射部位疼痛)的四項RCT進行的薈萃分析表明,與對照組相比,MSCs組的AE發生率略高,但不顯著(圖5)。

與肌肉骨骼和結締組織疾病相關的不良事件
六項RCT的薈萃分析報告了以下不良事件:
(i) 四肢疼痛 – 上肢或下肢(四項RCT),
(ii) 背痛 – 非特異性、短期背痛(四項 RCT),
(iii) 關節痛(一項RCT),
(iv) 肌痛(一項RCT),
(v) 橫紋肌溶解癥(一項 RCT),
以及(vi) 頸部疼痛(一項RCT)。
對主要RCT的個體效應大小的匯總估計顯示,與對照組相比,MScs組的顯著不良事件發生率略高(圖6)。

與神經系統疾病相關的不良事件
九項RCT報告了頭痛(非特異性/體位性);一項RCT報告了肌肉無力;兩項RCT報告了頭暈;另一項RCT報告了面神經疾病(周圍性面神經麻痹)。對神經系統疾病相關不良事件的匯總估計值的薈萃分析顯示,MSCs組的發生率略高于安慰劑組,但差異并不顯著(圖7)。

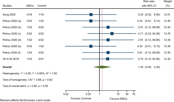
與感染和侵染相關的不良事件
三項RCT的薈萃分析報告了尿路感染(兩項RCT)、病毒感染(一項 RCT)、上呼吸道感染(一項RCT)、鼻竇炎(一項RCT)、疥瘡感染(一項RCT)、遠端手臂感染(一項RCT)和腎臟感染(一項 RCT)的發生情況。效應大小的匯總估計顯示MSCs組的不良事件發生率略高于對照組,但不顯著(圖8)。

與呼吸、胸腔和縱隔疾病相關的不良事件
兩項RCT報告了呼吸衰竭和咳嗽(均與疾病進展有關)。匯總分析發現MSCs組的AE發生率高于對照組,但兩組之間的差異并不顯著(圖9)。

與胃腸道疾病相關的不良事件
4項RCT報告了惡心、嘔吐、胃腸功能障礙和便秘等不良反應。薈萃分析結果顯示,MSC組的不良反應發生率略高于對照組,但差異不顯著(圖10)。

與損傷、中毒和手術并發癥相關的不良事件
三項RCT的效應大小匯總估計顯示,MSCs組的AE發生率并不顯著高于對照組(圖11)。三項RCT報告的AE包括手術疼痛、術后并發癥、腰椎穿刺后綜合征、跌倒、骨折(腿/手)和挫傷。

與心臟疾病相關的不良事件
一項RCT報告了心臟驟停(不認為與治療相關)。
與血管疾病相關的不良事件
一項RCT報告了血腫(與手術或治療無關)。
與代謝和營養障礙相關的不良事件
一項RCT報告了低鈉血癥(不認為與治療相關)。
討論
據我們所知,這項研究是第一篇總結鞘內注射間充質干細胞安全性特征的系統綜述和薈萃分析,并支持旨在評估單劑量或多劑量鞘內注射間充質干細胞治療的安全性和有效性的試驗結果,在這些試驗中,作者認為這種細胞給藥途徑對患有神經系統疾病的患者來說是一種潛在的安全治療方法。
結論
總之,通過鞘內注射間充質干細胞導致與肌肉骨骼和結締組織疾病相關的不良事件略有增加。然而,沒有觀察到嚴重不良事件,證實了先前臨床試驗的結果,表明鞘內注射間充質干細胞可能是神經系統疾病患者的安全給藥途徑。
由于小規模研究效應的證據有限,并且試驗的交叉設計可能存在問題,因此未來的分析需要大樣本量、設計良好的多中心RCT和長期隨訪。
參考資料:Mesa Bedoya, L.E., Camacho Barbosa, J.C., López Quiceno, L. et al. The safety profile of mesenchymal stem cell therapy administered through intrathecal injections for treating neurological disorders: a systematic review and meta-analysis of randomised controlled trials. Stem Cell Res Ther 15, 146 (2024). https://doi.org/10.1186/s13287-024-03748-7
免責說明:本文僅用于傳播科普知識,分享行業觀點,不構成任何臨床診斷建議!杭吉干細胞所發布的信息不能替代醫生或藥劑師的專業建議。如有版權等疑問,請及時跟本公眾號聯系,我們將在第一時間處理。
掃碼添加官方微信