概述:肝移植是一些晚期肝病患者生存的唯一機會,但供體短缺意味著患者可能在等待新肝臟的過程中死亡。我們在動物模型中證明,源自胎盤的人羊膜上皮細胞(hAEC)可以減輕肝纖維化和炎癥的嚴重程度。
首次人體試驗:人羊膜上皮細胞移植肝硬化患者安全且耐受性良好
近日,國際期刊雜志《Stem Cells Translational Medicine》發表一篇《人羊膜上皮細胞移植對代償期肝硬化患者安全且耐受性良好:首次人體試驗》的文獻綜述,綜述表明我們對9名肝硬化患者進行了一項I期首次人體臨床試驗,以確定給予不同劑量的hAEC是否安全。試驗期間沒有發生嚴重不良事件,一些患者的肝臟炎癥和纖維化標志物有所減少。我們的研究結果支持更多的臨床研究,以確定哪些患者可能受益于這種潛在的肝硬化新療法。

得到結果:
- 在本研究中使用的劑量下,來自胎盤的干細胞的施用對于肝硬化患者來說是安全的且耐受性良好。
- 雖然這是一項針對9名肝硬化患者的小型研究,但我們發現其中一些人的肝臟炎癥和纖維化標志物出現了有利的變化。
- 肝硬化患者的肝損傷程度(炎癥、纖維化)不同,因此需要進一步研究來了解哪些患者可能受益于這些胎盤干細胞治療。
介紹
全球終末期肝病負擔沉重,肝硬化排在第11位,肝癌排在第16位。這些疾病合計占全球死亡人數的3.5%。肝硬化是持續性損傷的復雜傷口愈合反應的結果,其特征是慢性炎癥、細胞外基質生成增加和肝細胞質量損失。
雖然以前認為肝纖維化是一種靜態且不可逆的疾病,但現在有證據表明肝纖維化是動態且可逆的。可靠的臨床數據顯示,肝硬化可以在治療肝損傷的根本原因后得到解決,例如對乙肝患者進行長期病毒抑制。然而,對于許多發展為肝硬化的患者來說,對特定療法沒有反應或缺乏有效治療意味著唯一的生存希望是肝移植。隨著對肝臟捐獻者的需求不斷增加,對全器官移植替代方案的需求尚未得到滿足。

一種替代方案可能是源自羊膜的人羊膜上皮細胞 (hAEC),羊膜在原腸胚形成前由外胚層發育而來,從而保留了分化為所有3個胚層細胞的能力。 hAEC表達胚胎干細胞標記物,但不表達端粒酶,不致瘤,并且不會在宿主中引起免疫介導的排斥反應。
我們已經證明,hAEC具有內在的免疫調節特性,可以在壞死性肝病模型和脂肪性肝炎模型中誘導肝纖維化消退。就其臨床應用潛力而言,與可從脂肪組織或骨髓中分離出數十萬個間充質基質細胞 (MSC) 相比,通常使用免費方法從單足月羊膜中分離出120-2億hAEC動物產品并符合臨床使用。與MSC相比,hAEC的分離過程大約需要4-6小時,MSC需要4-6周的離體擴增才能獲得相似數量的細胞用于治療用途,這使得hAEC成為一種低成本且豐富的細胞資源。此外,hAEC不會引起倫理問題,因為胎盤通常在分娩后被丟棄。
基于我們大量的干細胞治療肝硬化的臨床前數據顯示這些細胞的有利特性,我們進行了一項I期臨床試驗。
- 主要目標:是hAEC同種異體移植在成年代償性肝硬化患者中的安全性和耐受性。
- 次要目標:包括肝硬化嚴重程度臨床測量的變化 [Child-Pugh (CPT) 評分、終末期肝病模型 (MELD)、FIB-4、肝臟硬度]、肝臟炎癥(血清AST)和門靜脈高壓(hAEC給藥后8周肝靜脈壓力梯度。
方法
納入標準:該研究納入了年齡≥18歲至≤70歲的代償性肝硬化成年女性或男性患者。患有代謝功能障礙相關脂肪肝病 (MASLD)、酒精相關肝病(禁酒至少3個月)、丙型肝炎病毒感染(治療或未治療)、乙型肝炎病毒感染(使用ALT正常且抑制的核苷類似物)的患者HBV DNA 病毒載量或非活動期)、HIV與HCV/HBV合并感染且病毒學抑制超過12個月、隱源性肝硬化和血色素沉著癥(維持性靜脈切開術)均可進入研究。
細胞數量和hAEC給藥途徑:根據我們在動物模型中的經驗以及在Monash Health進行的一項單獨研究中治療的6名嬰兒,我們通過外周靜脈輸注來施用細胞。該途徑看起來安全且耐受性良好,也與已發表的間充質干細胞移植研究中的給藥途徑一致。
MSC試驗中施用的細胞數量通常在106/kg至108/kg之間。我們選擇了0.5×106/kg體重的低起始劑量。
安全評估:根據隊列和治療組總結安全性分析。在研究訪視期間進行了標準體檢、生命體征、心電圖和臨床實驗室測試。使用了疑似意外嚴重不良事件報告(SUSAR)。從第0天到隨訪結束記錄不良事件 (AE),并使用美國國家癌癥研究所不良事件通用術語標準 (v5.0) 按嚴重程度分為1、2、3或4級。
AE和嚴重AE的發生率和頻率及其與研究藥物的關系,包括導致患者停藥、劑量調整或治療停止的AE,按劑量和治療組進行分類。使用最新版本的監管活動醫學詞典總結了治療中出現的AE,并將其嚴重程度分為輕度、中度或重度。
結果
研究人群
2016年12月至2021年12月期間,50名患者被邀請參加該研究。其中,21名患者拒絕參加,15名患者符合排除標準。其余14名患者中,5名篩查失敗,包括3名HVPG>12mmHg的患者(患者004、005、013)和1名(008)撤回同意。一名患者 (003) 最初因ESR升高而未能通過篩查;然而,隨后的觀察結果被重新篩選并在隊列2中開始。符合所有納入標準且沒有排除標準的9名患者被納入該研究。我們最初計劃讓第四組患者接受3hAEC劑量(第0天、第28天和第56天),但由于新冠肺炎對我們試驗中心研究招募的限制而未能實現。
基線人口統計數據
四名女性和五名男性完成了所有研究程序。中位年齡為57歲(范圍為38-67歲),8名患者患有MASLD,這是其肝病的原因(表1)。

a丙型肝炎病毒。
b代謝相關的脂肪肝病。
c Child Pugh Turcotte 評分。
d終末期肝病模型。
一名患者(001)之前曾成功根除丙型肝炎感染。根據Child-Pugh和MELD評分,所有患者均患有代償性肝病。使用侵入性和非侵入性測量來評估肝纖維化。四名患者此前曾接受過肝活檢。纖維化的非侵入性測試包括FIB-4測試和使用瞬時彈性成像測量肝臟硬度。所有患者均在基線時測量HVPG(表2)。

安全性和耐受性
在研究期間,所有患者均未發生嚴重不良事件。六名患者沒有經歷與研究相關的不良事件(患者002、006、009、010、012和014)。三名患者報告頭痛可能與輸液有關。頭痛為輕度(1級),并在細胞輸注后的不同時間發生(患者001在255分鐘,患者003在54分鐘,患者007在6小時)。所有患者的血清血小板計數均出現短暫下降,并在第5天時恢復至基線篩查值。用于評估纖維化的FIB-4值在第56天顯著降低。
肝臟炎癥和纖維化的非侵入性標志物
我們檢查了常用血清標志物的變化,例如與肝臟炎癥和纖維化相關的血清AST和ALT。這些酶被納入許多非侵入性纖維化算法中,例如AST與血小板比率 (APRI)、FIB-4和FibroScan-AST (FAST) 評分。我們醫院實驗室的AST參考范圍是3-35U/L。研究期間未檢測到AST升高超過2倍(70U/L);相反,我們觀察到8名患者的 AST 值在基線和細胞輸注后2個月之間穩定或下降,而1名患者從52U/L增加至58U/L(圖2)。

第58天的血清AST。與基線值相比,第58天時8名患者的中位血清AST值較低或穩定。一名患者的AST從52U/L增加至58U/L。來自第一組的數據點由空心圓圈表示,來自第二組的數據點由實心三角形表示,來自第三組的數據點由空心正方形表示。
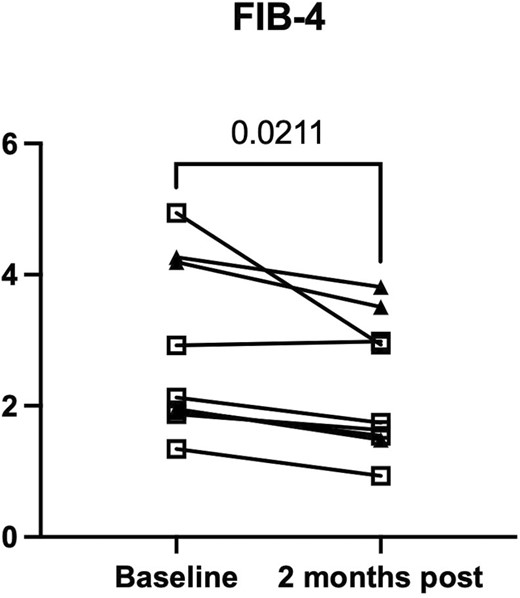
相比之下,基線和輸注后2個月的血清ALT值(參考范圍,5-40U/L)相似(數據未顯示)。FIB-4是肝纖維化的無創評估,包括年齡、血清ALT、AST和血小板。我們發現與hAEC輸注后2個月相比,基線FIB-4值顯著下降(圖3)。

第58天的Fib-4評分。與基線值相比,hAEC輸注后第58天的FIB-4值較低。來自第一組的數據點由空心圓圈表示,第二組由實心三角形表示,來自第三組的數據點由空心正方形表示。
肝臟硬度測量
在篩選期間、hAEC輸注后5天以及輸注后2個月再次測量肝臟硬度。雖然輸注2個月后6名患者的數值較低,但總體差異并不顯著。一名基線LSM為75kPa的患者 (009) 在hAEC暴露后未顯示任何變化(圖4)。

第58天的肝臟硬度測量。hAEC輸注后2個月,6名患者的肝臟硬度測量值較低,2名患者的肝臟硬度測量值增加,第三名患者的肝臟硬度測量值升高但穩定。來自第一組的數據點由空心圓圈表示,來自第二組的數據點由實心三角形表示,并且來自第三組的數據點由空心正方形表示。
肝靜脈壓力梯度
門靜脈高壓是肝病進展為失代償和肝細胞癌的主要驅動因素。我們通過確定肝靜脈壓力梯度,在篩選期間和 hAEC 輸注后 2 個月內測量了每位患者的門靜脈壓力,肝靜脈壓力梯度是通過內部零(自由)校正的楔形肝靜脈壓力(門靜脈壓力的間接測量)之間的差值。肝靜脈壓)。正常壓差為3-5mmHg,而值≥10 mmHg 則定義為有臨床意義的門靜脈高壓。
我們發現,除009號患者基線血壓正常 (5mmHg) 外,所有患者的HVPG基線均升高。該正常值可能是由于測量技術差異造成的,因為根據超聲檢查結果,該患者臨床上患有肝硬化并伴有門脈高壓,包括脾腫大、LSM為75kPa,以及重復測量時血清血小板低。
輸注后2個月,009號患者的HVPG從5mmHg增加至13mmHg,后者的值可能反映了真實的門靜脈壓力梯度。4名患者的HVPG在2個月時出現下降。4名患者的HVPG沒有變化或略有增加(圖5)。

第58天的肝靜脈壓力梯度。輸注后2個月,4名患者的肝門靜脈壓力梯度(HVPG)下降,4名患者的肝門靜脈壓力梯度沒有變化或略有增加。一名患者表現出HVPG大幅增加(參見討論文本)。來自第一組的數據點由空心圓圈表示,來自第二組的數據點由實心三角形表示,來自第三組的數據點由空心正方形表示。
第58天的肝靜脈壓力梯度。輸注后2個月,4名患者的肝門靜脈壓力梯度(HVPG)下降,4名患者的肝門靜脈壓力梯度沒有變化或略有增加。一名患者表現出HVPG大幅增加(參見討論文本)。來自第一組的數據點由空心圓圈表示,來自第二組的數據點由實心三角形表示,來自第三組的數據點由空心正方形表示。
終末期肝病模型
從基線到輸注后2個月,5名患者的MELD評分沒有變化,2名患者增加1分,2名患者分別減少1分和3分(圖6)。

58天終末期肝病模型。輸注后2個月,5名患者的MELD無變化,4名患者的MELD無變化或略有增加。第一組的數據點用空心圓表示,第二組的數據點用實心三角形表示,第三組的數據點用空心正方形表示。
討論
在這項I期研究中,我們首次在肝硬化患者中開展研究,結果表明,靜脈輸注異體hAEC(最高106細胞/kg,分2次注射)安全且耐受性良好。9名患者中有6名未出現不良臨床事件。3名患者出現1級頭痛;其中一名患者還出現短暫性視力模糊,一名患者報告出現短暫性排便稀便和肌肉疼痛,均為1級。2名患者報告在輸注后的幾天內精力水平提高,嗜睡減少。
所有患者的血清血小板計數均出現短暫下降,并在第5天時恢復至基線篩查值。用于評估纖維化的FIB-4值在第56天顯著降低。盡管沒有統計學意義,但D56時的血清AST水平和肝臟硬度測量值低于基線。肝靜脈壓力梯度(門脈高壓的衡量標準)在4名患者中下降,在3名患者中沒有變化,在2名患者中增加。
總之,代償性肝硬化患者以本研究中使用的劑量靜脈輸注同種異體hAEC是安全的且耐受性良好,1次和2次劑量之間沒有觀察到差異。肝臟炎癥、肝臟僵硬和門靜脈高壓的減少支持了旨在確定可能從這種療法中受益的患者的更大規模研究。
結論
以本研究中使用的劑量對代償性肝硬化患者進行外周靜脈輸注同種異體hAEC是安全且耐受性良好的。我們中心最近對8名接受hAEC的急性卒中患者進行的一項研究也觀察到類似的令人放心的結果。
我們沒有發現接受單劑治療的患者和接受2劑治療的患者之間的結果存在明顯差異。盡管沒有計劃對這一小群患者進行正式的統計分析,但出現了肝臟炎癥、肝臟僵硬和門靜脈高壓減少的有希望的信號,這將支持對代償性和失代償性肝硬化患者進行更大規模的研究,以了解哪些患者可能受益,以及有效治療肝纖維化的最佳劑量和方法。
參考資料:Rebecca Lim, Alexander Hodge, Sherryne Warner, Gregory T Moore, Jeanne Correia, Mirja Krause, Hannah McDonald, Siow T Chan, Mihiri Goonetilleke, Stuart M Lyon, William Sievert, Human amniotic epithelial cell transplantation is safe and well tolerated in patients with compensated cirrhosis: a first-in-human trial, Stem Cells Translational Medicine, 2024;, szae023,
https://doi.org/10.1093/stcltm/szae023
免責說明:本文僅用于傳播科普知識,分享行業觀點,不構成任何臨床診斷建議!杭吉干細胞所發布的信息不能替代醫生或藥劑師的專業建議。如有版權等疑問,請隨時聯系我。
掃碼添加官方微信