背景:對于膝骨關節炎 (KOA),通過向膝關節注射骨髓間充質干細胞 (BM-MSC)、脂肪組織間充質干細胞 (AD-MSC) 或臍帶間充質干細胞?(UC-MSC) 等治療方法,已顯示出緩解癥狀的良好前景。然而,哪種類型的間充質干細胞 (MSC) 具有最佳治療效果仍不確定。
三種間充質干細胞移植治療膝骨關節炎,哪種細胞和類型更有效?
為此,廣州中醫藥大學附屬中山中醫醫院研究人員系統地搜索了PubMed、OVID、Web of Science和 Cochrane Library,檢索日期截至2024年1月1日。
研究評估了五個終點:疼痛的視覺模擬評分 (VAS)、運動范圍 (ROM)、全器官磁共振成像評分 (WORMS)、西安大略麥克馬斯特大學骨關節炎指數 (WOMAC) 和不良事件 (AD)。使用Stata16.0進行標準薈萃分析和網絡薈萃分析。該文獻發表在期刊雜志“Journal of Orthopaedic Surgery and Research”上。

旨在以全面評估各種來源和類型的間充質干細胞治療膝骨關節炎的臨床療效和安全性,并確定最佳策略。
結果
文獻選擇:通過對4個電子數據庫和相關文獻中引用的另外18項研究進行全面搜索,我們最初共確定了2397項研究。隨后,根據預先定義的納入標準篩選了標題和摘要,排除了1983項研究。此外,還刪除了146項重復研究。這一過程留下了268項試驗供進一步考慮。在審查了這些試驗的全文后,根據排除標準又排除了131項研究。最終,涉及585名患者的15項研究符合薈萃分析的納入標準(圖1)。

納入試驗的特征:表2總結了納入試驗的特征以及干預類型?。所有納入的研究表明基線特征無顯著差異。這些隨機對照試驗 (RCT) 涉及585名Kellgren-Lawrence分級為I至IV的患者。其中294名患者接受了關節內注射MSCs,而261名患者接受了傳統藥物治療,主要是HA。隨訪時間為6至48個月不等,大多數在6至12個月范圍內。

VAS:疼痛視覺模擬評分;ROM:運動范圍;WORMS:全器官磁共振成像評分;WOMAC:西安大略麥克馬斯特大學骨關節炎指數;ADs:不良事件
十五項研究中,九項使用自體MSC,其余使用同種異體MSC。其中六項使用來自脂肪組織的MSC,八項使用來自骨髓的MSC,一項使用來自臍帶的MSC。在所有研究中,治療組的細胞移植僅涉及關節內注射。移植的MSC劑量因研究而異,移植頻率從1次到4次不等,大多數研究采用單次治療。
表3概述了納入研究中使用的MSC移植方案的一般特征。評估的臨床結果包括ROM、VAS評分、WOMAC、WORMS和AD。

標準薈萃分析
疼痛VAS評分
十項研究(共319例)報告了VAS評分。分析顯示研究之間存在高度統計異質性。根據隨訪時間(6、12、16和48個月)進行了亞組分析,其中一個亞組的I2超過50%,因此需要采用隨機效應模型。薈萃分析表明,與對照組相比,間充質干細胞移植治療的VAS評分顯著降低(圖3a)。

aVAS評分;b膝關節ROM;c WORMS評分;d WOMAC;e不良事件
涉及121名患者的三項研究報告了膝關節活動度。I2為0.0%,異質性 p=0.669,表明異質性較低,因此采用固定效應模型進行薈萃分析。結果顯示,與對照組相比,MSCs移植治療組的膝關節活動度顯著改善(圖3b)。
有三項研究報告了WORMS,研究對象為100名患者。納入研究之間的異質性較低,因此需要采用固定效應模型。然而,MSCs移植治療組和對照組之間的WORMS無顯著差異(圖3c)。
11項研究(共301例)報告了WOMAC總分。分析顯示研究間統計異質性較高。根據隨訪時間(6、12和48個月)進行亞組分析,三分之二的亞組中I2顯著性大于50%,因此采用隨機效應模型。結果表明 MSCs移植治療組的WOMAC總分高于對照組(圖3d)。
涉及254名患者的8項研究描述了治療和隨訪期間的不良事件。沒有一項研究報告了具有永久性影響的嚴重并發癥,例如腫瘤、異常組織增生或免疫反應。
最常見的不良反應包括輕微不適、瘀傷、發燒和頭痛,這些癥狀會自行緩解或通過對癥治療得到緩解。薈萃分析顯示,納入研究之間的異質性較低,因此需要使用固定效應模型進行分析。與對照組相比,MSCs移植治療的不良事件發生率更高(圖3e)。其余研究未報告任何不良事件或副作用。
網絡薈萃分析
網絡圖
我們針對這五種結果生成了五個網絡圖,每個圖代表不同的MSCs來源。圖4a-e顯示了這些比較的匯總網絡圖 。

亞組網絡圖:aVAS評分;b膝關節ROM;cWORMS評分;dWOMAC;e不良事件。Auto:自體間充質干細胞,Allo:同種異體間充質干細胞,Con:對照組
疼痛VAS評分
該網絡分析了10組成對比較。NMA顯示,與傳統療法相比,自體MSCs療法和異體MSCs療法的VAS評分均顯著降低。然而,自體MSCs療法和異體MSCs療法之間沒有顯著差異(圖5a)。自體MSCs療法的VAS評分最低(SUCRA86.1%),其次是異體MSCs療法(SUCRA63.8%)。(圖5f)

ae森林圖代表直接和間接比較;fj不同結果的累積排序曲線下表面。從左到右分別為VAS評分、膝關節 ROM、WORMS評分、WOMAC和不良事件
運動范圍 (ROM)
該網絡評估了三項研究,其中一項是三組研究。NMA顯示,與傳統療法相比,自體MSCs療法改善了膝關節活動度。然而,同種異體MSCs療法與傳統療法之間以及自體MSCs療法與同種異體MSCs療法之間沒有發現顯著差異(圖5b)。自體MSCs療法最有可能成為改善膝關節活動度的最佳選擇(SUCRA81.7%),其次是同種異體MSCs療法(SUCRA 40.2%)和傳統療法(圖5g)。
全器官磁共振成像評分 (WORMS)
該網絡納入了三篇評估膝關節WORMS的文章。與標準薈萃分析結果類似,在網絡薈萃分析中未觀察到WORMS評分的顯著差異。根據SUCRA等級,自體MSCs治療理論上是陽性WORMS評分的最佳策略(SUCRA54.6%),其次是異體MSCs治療(SUCRA53.3%),傳統治療的結果最低(SUCRA42.1%)。(圖5c和h)
西安大略麥克馬斯特大學骨關節炎指數 (WOMAC)
WOMAC網絡納入了11篇文章。與WORMS網絡結果類似,通過網絡薈萃分析發現 WOMAC結果無顯著差異。根據SUCRA等級,傳統療法是WOMAC評分陽性患者最有效的治療策略(SUCRA94.1%),其次是自體MSCs療法(SUCRA28.2%)和異體MSCs療法(SUCRA 27.7%)。(圖5d和i)
不良事件(AD)
八項研究評估了該網絡中的不良反應。與傳統療法相比,自體MSCs療法和異體MSCs療法均與不良事件增加有關。自體和異體MSCs療法之間沒有顯著差異。根據SUCRA值,傳統療法是避免不良事件的最佳選擇(SUCRA99.1%),其次是自體MSCs療法(SUCRA 28.9%)和異體MSCs療法(SUCRA 22.0%),這可能是最不受歡迎的策略(圖5e和j)。
不同類型的間充質干細胞之間的比較
網絡圖:我們為每個結果生成了五個網絡圖,每個圖代表不同類型的MSC。圖6a–e顯示了這些比較的總結網絡圖。

亞組網絡圖:aVAS評分;b膝關節 ROM;cWORMS評分;dWOMAC;e不良事件。
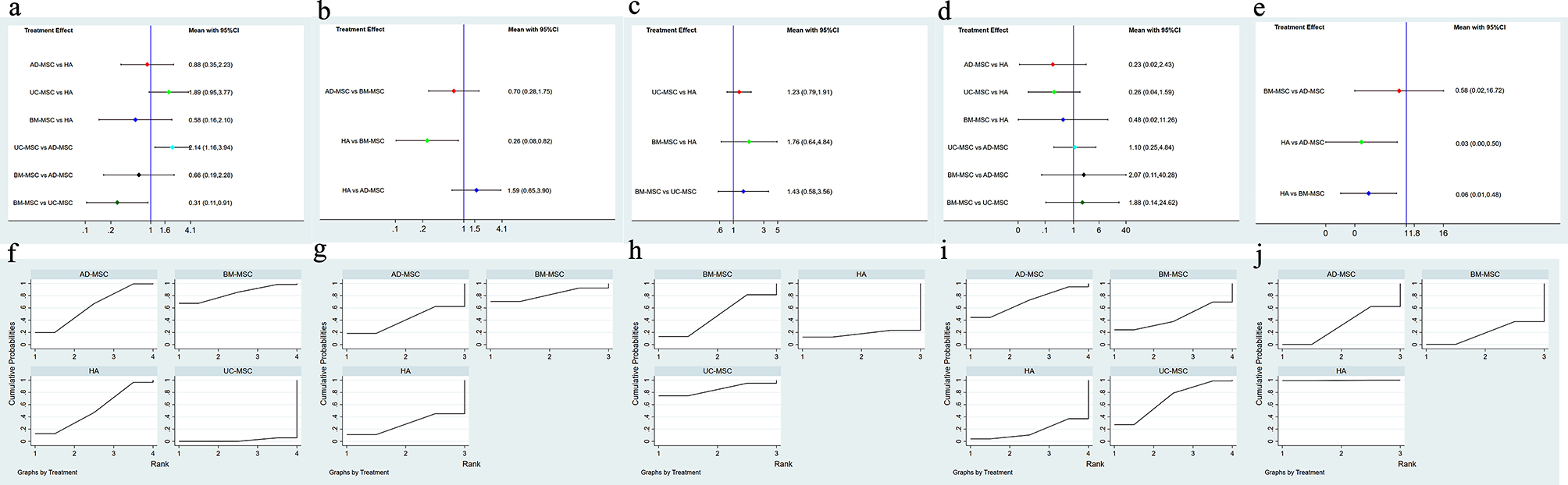
疼痛VAS評分
在該網絡中分析了五次成對比較。NMA表明,與UC-MSC療法相比,AD-MSC療法和BM-MSC療法的VAS評分顯著下降。根據SUCRA等級,BM-MSC療法是最有效的策略 (SUCRA83.9%),其次是AD-MSC療法 (SUCRA62.1%)、HA療法 (SUCRA52.0%),UC-MSC療法 (SUCRA1.9%) 是最不受歡迎的選擇(圖7a和f)。

ae森林圖代表直接和間接比較;fj不同結果的累積排序曲線下表面。從左到右分別為VAS評分、膝關節 ROM、WORMS評分、WOMAC和不良事件
運動范圍 (ROM)
該網絡評估了三項研究,包括一項三組研究。NMA顯示,與HA療法相比,BM-MSC療法改善了膝關節ROM。然而,AD-MSC療法和HA療法之間沒有顯著差異,AD-MSC療法和BM-MSC療法之間也沒有顯著差異(圖7b)。就SUCRA排名概率而言,BM-MSC療法可能是改善膝關節ROM的最佳選擇(SUCRA78.0%),其次是HA療法(SUCRA 41.3%)和AD-MSC療法(SUCRA30.7%)。(圖7g)
全器官磁共振成像評分 (WORMS)
該網絡納入了三篇關于WORMS評分的文章。通過網絡薈萃分析發現WORMS評分無顯著差異。根據SUCRA等級,UC-MSC療法(SUCRA94.1%)是針對陽性WORMS評分最有效的治療策略,其次是BM-MSC療法(SUCRA 28.2%)和HA療法(SUCRA27.7%)。(圖7c和h)
西安大略麥克馬斯特大學骨關節炎指數 (WOMAC)
WOMAC網絡薈萃分析納入了6篇文章。與WORMS網絡結果類似,通過網絡薈萃分析觀察到WOMAC結果無顯著差異。根據SUCRA等級,AD-MSC療法(SUCRA70.6%)可能是WOMAC陽性患者最有效的選擇,其次是UC-MSC療法(SUCRA68.3%)和BM-MSC療法(SUCRA43.9%)。HA療法(SUCRA 17.2%)可能是最不有效的治療選擇。(圖7d和i)
不良事件(AD)
四項研究評估了該網絡中的不良反應。與HA療法相比,AD-MSC療法和BM-MSC療法導致不良反應增加。BM-MSC療法和AD-MSC療法之間無顯著差異。SUCRA值表明,HA療法(SUCRA99.6%)是最有效的策略,其次是AD-MSC療法(SUCRA 31.3%)和BM-MSC療法(SUCRA19.1%)。(圖7e)
討論
本試驗評估了不同來源和類型的間充質干細胞移植對有癥狀的膝骨關節炎患者的安全性和有效性。我們的研究提供了間充質干細胞移植可有效治療膝骨關節炎患者的經驗證據。具體而言,我們的研究結果強調:
(1) 自體BM-MSC在膝骨關節炎患者的功能改善和疼痛緩解方面表現出最大的改善;
(2) UC-MSC對陽性WORMS最有效,AD-MSC對WOMAC陽性患者最有效;
(3) 與傳統療法相比,自體或同種異體MSC的不良反應更多。據我們所知,這是首次確定KOA最佳MSCs策略的研究,也是BM-MSC、AD-MSC和UC-MSC之間的初步比較。
結論
在間充質干細胞治療關節炎中的效果優于傳統療法,尤其是增強功能和緩解疼痛。
此外,在比較各種干細胞類型和來源時沒有發現顯著差異。然而,BM-MSC療法在改善VAS和ROM方面最有效,而其他類型的MSC在改善功能結果(例如WORMS和WOMAC評分)方面更有效。
對于治療相關不良事件,HA是最可取的選擇,其次是AD-MSC和BM-MSC。雖然這些不良事件通常較輕,但它們可能會對治療依從性和滿意度產生不利影響。
參考資料:Chen, X., Zheng, J., Yin, L. et al. Transplantation of three mesenchymal stem cells for knee osteoarthritis, which cell and type are more beneficial? a systematic review and network meta-analysis. J Orthop Surg Res 19, 366 (2024). https://doi.org/10.1186/s13018-024-04846-1
免責說明:本文僅用于傳播科普知識,分享行業觀點,不構成任何臨床診斷建議!杭吉干細胞所發布的信息不能替代醫生或藥劑師的專業建議。如有版權等疑問,請隨時聯系我。
掃碼添加官方微信