導語:類風濕性關節炎是一種無法治愈的慢性自身免疫性疾病,影響著全球約 1% 的人口,主要影響女性性。間充質干細胞可能成為類風濕關節炎患者的一種有吸引力的治療選擇,因為這些細胞具有再生和免疫調節能力。
什么是類風濕關節炎
類風濕關節炎(RA)是一種慢性全身性自身免疫性疾病,主要影響關節,但也可能累及其他器官。其病因尚不完全明確,但與遺傳、環境和感染等因素密切相關。該病的發病高峰年齡在30-50歲之間,女性發病率高于男性。
間充質干細胞通過免疫調節、抗炎、促進組織修復和抗氧化等多種機制,在治療類風濕關節炎中發揮了重要作用。
本文通過一項實驗結果中的四個臨床案例來證明間充質干細胞對于治療類風濕關節炎有效果。

類風濕關節炎新療法:干細胞治療4大成功案例與癥狀改善對比
2021年2月24日,英國諾丁漢特倫特大學在國際期刊《Front. Immunol.》上發布了一篇《類風濕性關節炎和系統性紅斑狼瘡中的多能間充質基質細胞;從發病機制中的主導作用到潛在的治療救星?》的實驗結果。

其中類風濕關節炎的板塊中研究表明間充質干細胞對于治療類風濕關節炎有效果。
目的:有鞏固這些知識對于進一步了解間充質干細胞用于免疫穩態恢復的新興領域以及促進治療方法的開發和優化至關重要,特別是對于對所有現有療法均有耐藥性的耐藥性風濕性自身免疫性疾病。
方法:四項研究總共663名患者加入此項試驗,我們專注于實驗模型環境中的這些疾病以及在人類中出現的初步臨床試驗數據,其中概念驗證臨床前研究表明全身間充質干細胞輸注對類風濕關節炎患者具有有益影響。
使用間充質干細胞治療類風濕關節炎的四項臨床試驗
臨床研究一:《人臍帶間充質干細胞治療活動性類風濕關節炎患者的安全性和有效性》
2013年中國人民解放軍第323醫院王黎明等研究人員在國際期刊《Stem cell development》上發布了一篇《人臍帶間充質干細胞治療活動性類風濕關節炎患者的安全性和有效性》的研究結果。

介紹:Wang 等人進行了兩項研究;一項是 I/II 期臨床試驗,治療了172名類風濕關節炎患者,并進行了長達8個月的隨訪 。
結果:患者者通過靜脈注射分為兩組接受不同的治療:改善病情的抗風濕藥物 (DMARDs) 加不含臍帶間充質干細胞的培養基,或 DMARDs 加臍帶間充質干細胞組(每次4×107個細胞)。記錄不良事件和臨床信息。進行血清學標志物測試以評估安全性和疾病活動性。
測量血清中炎性趨化因子/細胞因子的水平,并分析外周血淋巴細胞亞群。輸注期間或之后均未觀察到嚴重不良反應。

DMARDs加不含臍帶間充質干細胞的培養基組與DMARDs加UC-MSCs組治療前后3個月健康評估問卷(HAQ)、28關節疾病活動度評分(DAS28)、CRP、RF及調節性T細胞評分比較。
(A)評估HAQ評分;
(B)測定DAS28評分;
(C)評估血清CRP水平;
(D)測定血清RF水平;
(E)檢測CD4+CD25+Foxp3+調節性T細胞占CD4+T細胞的百分比。
白柱代表治療前數值,暗柱代表治療后數據。 *P < 0.05,治療前與治療后;#P < 0.01,治療前后;cP < 0.05,兩組治療后; &P < 0.01,兩組治療后。DMARDs 加培養基不含 UC-MSCs 組 n = 36;DMARDs 加 UC-MSCs 組 n = 58。CRP,C 反應蛋白;RF,類風濕因子。
首次臍帶間充質干細胞注射治療后,患者血清腫瘤壞死因子-α和白細胞介素-6水平降低(P<0.05),外周血CD4(+)CD25(+)Foxp3(+)調節性T細胞百分比升高(P<0.05)。
治療效果無需持續給藥即可維持3-6個月,與外周血調節性T細胞百分比升高相關。在此期間后重復輸注可以增強治療效果。根據美國風濕病學會改善標準、28關節疾病活動評分和健康評估問卷,治療后疾病得到顯著緩解。
結論:我們的數據表明,使用DMARDS加臍帶間充質干細胞治療可為活動性類風濕關節炎患者提供安全、顯著和持久的臨床益處。
臨床研究二:《臍帶間充質干細胞治療類風濕關節炎患者的療效和安全性:一項前瞻性 I/II 期研究》
2019年12月中國人民解放軍空軍第986醫院在國際雜志《Drug development treatment》發布了一篇《臍帶間充質干細胞治療類風濕關節炎患者的療效和安全性:一項前瞻性 I/II 期研究》的研究結果。

這一項是對 64 名患者的研究,隨訪時間為 3 年,以獲取長期結果。
結果:在這兩項研究中,患者均接受了單劑量系統注射同種異體臍帶間充質干細胞(4 × 10 7 個細胞/患者)聯合低劑量 DMARD 治療(來氟米特、硫酸羥氯喹或甲氨蝶呤)。
結果是沒有嚴重的不良反應,并且通過美國風濕病學會改善標準 (ACR)、DAS-28、ESR 和健康評估問卷 (HAQ) 測量緩解。
此外,還報告了低水平的 CRP、類風濕因子 (RF) 和抗環瓜氨酸肽 (抗 CCP) 抗體、TNF-α 和 IL-6 細胞因子。兩項研究均報告了這些臨床結果,以及血液T-reg細胞百分比的增加。
臨床研究三:《血清IFN-γ水平預測間充質干細胞移植對活動性類風濕關節炎的治療效果》
2018年,第三軍醫大學大坪醫院野戰外科研究所在國際雜志《Journal of Translational Medicine》上發布了一篇《血清 IFN-γ 水平預測間充質干細胞移植對活動性類風濕關節炎的治療效果》的研究結果。

介紹:一項小型研究針對9名類風濕關節炎患者,這些患者未接受任何生物化合物治療,但接受了靜脈注射同種異體臍帶間充質干細胞。
在這項 I 期臨床試驗中,間充質干細胞劑量為每名受試者 2.5×107個、5×107個或 1×108個臍帶間充質干細胞。
結果:

疾病活動性評估。各組間充質干細胞注射前后的 DAS28 值、HAQ 評分、ESR 和 CRP 水平。
(a) DAS28 值;
(b)HAQ評分;
(c)血清 ESR;
(d)血清 CRP 水平;
(e)反應組 MSCT 后醋酸潑尼松劑量的變化;
每個點代表反應組中的一名患者(n = 23)。*P < 0.05,與 MSCT 前的反應組相比;與無反應組和對照組相比,根據單因素方差分析。誤差線表示 SEM。CRP C 反應蛋白、ESR紅細胞沉降率
安全性、DAS28、HAQ 和 VAS 評分下降以及血液中ESR、CRP、IL-1β、IL-6、IL-8 和 TNF-α 水平下降(尤其是在 MSC 劑量較高的情況下)均有所改善。
安全性評估:間充質干細胞注射治療期間及治療后未發生嚴重急性不良事件。3例患者在間充質干細胞輸注后出現寒戰或發熱(≤ 39 ℃),但未經任何干預在3小時內恢復。
無患者發生移植物抗宿主病 (GVHD),亦無嚴重感染。常規血液檢查、肝腎功能分析、胸部 X 光檢查、尿液分析或心電圖檢查均未發現明顯異常。
臨床研究四:《自體骨髓間充質干細胞移植對難治性類風濕關節炎患者調節性T細胞的充分免疫調節作用》
2020年4月28日,伊朗馬什哈德醫科大學在國際雜志《Journal of Immunology Research》上發布了一篇《自體骨髓間充質干細胞移植對難治性類風濕關節炎患者調節性T細胞的充分免疫調節作用》的研究結果。

介紹:一項先導研究涉及13名難治性類風濕關節炎患者,他們聯合常規療法靜脈輸注了一劑自體骨髓間充質干細胞(1 至 2 × 10 6個細胞/kg 體重)。
結果
MSCT 前后上清液中的細胞因子水平:
(a)IL-4;(b)IL-10;
(c)TGF- β;(d)IL-17A;
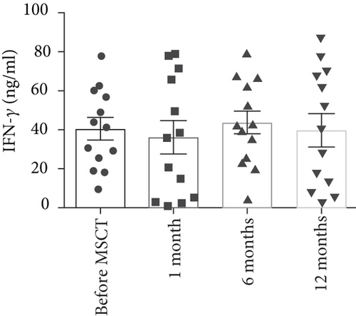
(e)TNF- α;(f)IFN- γ。
數據以平均值±SEM 表示。 ? ? P < 0.05 和 ??? P < 0.01。MSCT:間充質干細胞移植;TGF- β:轉化生長因子-β;TNF- α:腫瘤壞死因子-α;IFN- γ:干擾素-γ;SEM:平均值的標準誤差。

與間充質干細胞注射前相比,注射后 IL-4 上清液水平沒有顯著改變。與 1 個月相比,12 個月時檢測到的 IL-4 上清液水平大幅下降

與間充質干細胞注射前相比,注射后1個月,IL-10 上清液水平顯著降低,12 個月時顯著增加。進一步觀察到,與 1 個月相比,6 個月時 IL-10 上清液水平顯著增加。此外,與 1 個月和 6 個月相比,12 個月時 IL-10 上清液水平顯著增加

間充質干細胞注射后與注射前相比, TGF- β上清液水平無顯著變化。與 1 個月相比,12 個月時 TGF- β上清液水平顯著增加。此外,6 個月時 TGF- β上清液水平較 1 個月時顯著增加

間充質干細胞注射后,IL-17A 上清液水平 (平均值±SEM,MSCT 前 226.63±50.00 pg/ml,1 個月時 277.20±54.57 pg/ml,6 個月時 299.20±38.66 pg/ml,12 個月時 245.24±35.13 pg/ml)

IFN- γ (平均值±SEM,MSCT 前 40.46±5.61 ng/ml,1 個月時 36.02±8.37 ng/ml,6 個月時 43.74±6.10 ng/ml,12 個月時 40.00±8.38 ng/ml

間充質干細胞注射后 6 個月,上清液中的TNF- α水平顯著降低。與 MSCT 前相比,1 個月和 12 個月時上清液中的 TNF- α水平沒有顯著變化。此外,與 6 個月相比,12 個月時上清液中的 TNF- α水平顯著增加
當前數據表明,間充質干細胞療法對難治性類風濕關節炎患者具有顯著的免疫調節作用,尤其是通過增加 IL-10 和 TGF- β的蛋白質水平,這兩種細胞因子是 Tregs 的重要因子。此外,在干預結束時,Tregs的獨特轉錄因子 FOXP3 基因表達的大幅增加可能反映了 MSCs 在免疫系統中將 T 淋巴細胞分化為Tregs的能力。
不良事件:在 12 個月的隨訪期間,13 名患者均未觀察到任何負面事件。
總結
總而言之,多項臨床試驗已為間充質干細胞的安全性提供了支持,特別是對于難治性類風濕關節炎。在后續的隨訪中未出現任何不良反應。
參考資料:El-Jawhari JJ, El-Sherbiny Y, McGonagle D and Jones E (2021) Multipotent Mesenchymal Stromal Cells in Rheumatoid Arthritis and Systemic Lupus Erythematosus; From a Leading Role in Pathogenesis to Potential Therapeutic Saviors? Front. Immunol. 12:643170. doi: 10.3389/fimmu.2021.643170.
免責說明:本文僅用于傳播科普知識,分享行業觀點,不構成任何臨床診斷建議!杭吉干細胞所發布的信息不能替代醫生或藥劑師的專業建議。如有版權等疑問,請隨時聯系我。
版權說明:本文來自杭吉干細胞科技內容團隊,歡迎個人轉發至朋友圈,謝絕媒體或機構未經授權以任何形式轉載至其他平臺,轉載授權請在網站后臺下方留言獲取。
掃碼添加官方微信